Rok 2025
ÚROVEŇ VYTRIEDENIA KOMUNÁLNYCH ODPADOV ROK 2025
Podľa zákona 329/2018 Z.z. o poplatkoch za uloženie odpadov a o zmene a doplnení zákona č. 587/2004 Z.z. o Environmentálnom fonde a o zmene a doplnení niektorých zákonov v znení neskorších predpisov Vám oznamujeme, že obec Tuhár dosiahla v roku 2025 úroveň vytriedenia komunálnych odpadov 76,35 %.
Úroveň vytriedenia komunálnych odpadov 2025.pdf Typ: PDF dokument, Veľkosť: 91.24 kB
Úroveň vytriedenia komunálnych odpadov 2025.csv Typ: CSV, Veľkosť: 1.89 kB - formát otvorených dát (open data)





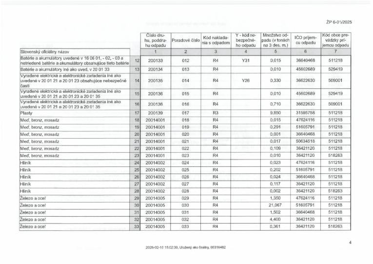
Ročný výkaz o komunálnom odpade z obce rok 2025.pdf Typ: PDF dokument, Veľkosť: 1.42 MB
Ročný výkaz o komunálnom odpade z obce rok 2025.csv Typ: CSV, Veľkosť: 10.5 kB - formát otvorených dát (open data)




